
بَسپار یا پلیمر، دسته ای از درشت مولکول ها پلیمر{بسپار : مصوب فرهنگستان زبان و ادب فارسی} نام دارند.هر پلیمراز زنجیره های بلندی تشکیل شده است که از اتصال تعداد زیادی مولکول کوچک به یکدیگر به دست می آید. رشته دانشگاهی پلیمر یکی از گرایشهای شیمی و مهندسی شیمی میباشد. این گرایش تا سال ۱۳۶۲ یکی از گرایشهای مهندسی شیمی بود اما در حال حاضر به عنوان یک رشته مستقل با دو گرایش صنایع پلیمر و تکنولوژی و علوم رنگ در دانشگاهها و مراکز آموزش عالی ارائه میشود، البته هنوز نیز در شماری از دانشگاههای کشور مهندسی پلیمر یکی از گرایشهای مهندسی شیمی است. واژهٔ بسپار فارسی است و از دو بخش بس (بسیار) و پار (پاره، قطعه) ساختهشدهاست.واژه «پلیمر» از دو بخش یونانی «پُلی» به معنای بسیار و «مر» به معنی قسمت، پاره یا قطعه گرفته شدهاست.
بسپارها به دو دسته بسپارهای طبیعی و بسپارهای مصنوعی تقسیم میشوند. البته بسپارها را به روشهای مختلف دیگری نیز دستهبندی نیز میکنند. دستهبندی زیر بر اساس ساختار بسپار انجام شدهاست.
بسپارها از نظر اثر پذیری در برابر حرارت به دو دسته گرمانرمها (ترموپلاستیکها) و گرماسختها(ترموستها) تقسیم میشوند. گرمانرمها، پلیمرهایی هستند که در اثر گرم کردن ذوب میشوند در حالی که گرماسختها، بسپارهایی هستند که در اثر گرما ذوب نمیشوند بلکه در دماهای بسیار بالا به صورت برگشتناپذیری تجزیه میشوند. بسپارها دارای خواص ویسکو الاستیک هستند و منشأ این پدیده، در گرمانرمها گره خوردگی زنجیرهها و در گرماسختها گره خوردگی زنجیرهها و اتصالات شبکهای آنها در هم است.
فهرست مطالب:
تفاوت و وجه تمایز واکنش های پلیمر شدن مرحله ای و زنجیری
بسپارش کاتیونی
ویژگیهای بسپارش کاتیونی
مرحله آغاز
مرحله انتشار
اختتام
سرعت واکنش
لاستیک بوتیل
پلی اکسی متیلن
پلیمریزاسیون کاتیونی اکسیران
بسپارش آنیونی
غلظت کربانیون
نایلونها
اکتونها
شیمی فضایی بسپارش دی ان ها
بسپارش با کاتالیزورهای کمپلکس کوئوردیناسیونی
مکانیسم یک فلزی
جایگیری مونومر
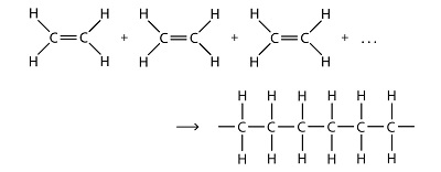
واکنشهای پلیمری شدن افزایشی (رادیکالی)
آغازگرها در بسپارش زنجیری رادیکالی
مکانیزم بسپارش زنجیری رادیکالی
معادله سرعت مصرف مونومر در زنجیرهای طولانی
نتایج بسپارش رادیکالی
معادله مایو
فنون بسپارش
و...
مبلغ قابل پرداخت 33,500 تومان
فارسی ساز Assassins Creed Black Flag نسخه PC تلگرام : ParsiTeamCH@ سایت : ParsiTeamSite.ir ... ...
فارسی ساز Disco Elysium The Final Cut ... ...
فارسی ساز The Witcher 2: Assassins of Kings ... ...
فارسی ساز Dragons Dogma 2 آموزش نصب : https://parsiteamsite.ir/product13/dd2/index.html ... ...
فارسی ساز Watch Dogs Legion ... ...
عنوان کتاب: جان شیفته (مجموعه کامل) نویسنده: رومن رولان مترجم: م.ا به آذین فرمت فایل ها: mp3 تعداد فایل ها: 4 جلد کامل حجم کل فایل ها: 953 مگابایت زبان: فارسی توضیحات: فضای داستان جان شیفته، فرانسه در ابتدای سده بیستم است و رمان وضعیت اجتماعی این دوران را برای ... ...
دامنه (Domain) آدرس کسب و کار شماست. امروز بسیاری از افراد به دنبال خرید دامنه منقضی شده اتوریتی دار یا رنک دار هستند چرا که خرید یک دامنه رنک دار کسب و کار شما را ماه ها به جلو می اندازد و شما را سریع تر به هدفتان می رساند. اما چگونه بصورت رایگان یک دامنه اتوریتی دار مناسب ... ...
یکی از مراحل عیب یابی و رفع عیب سیستم های الکتریکی و الکترونیکی خودرو، شناخت محل دقیق پایه ها و تست سیم و یا قطعه مربوطه می باشد بدین منظور تعمیرکاران از کتابچه ها و نقشه های متعددی استفاده می کنند در اختیار داشتن چنین نقشه هایی نیازمند صرف هزینه و مطالعه کتابهای تعمیراتی ... ...
جلد دفتر کارنمای جابر بن حیان (با فرمت word جهت تغییر و ویرایش) نمونه ای از دفتر کار نمای جشنواره جابر بن حیانبا طراحی زیبا و مناسب برای دانش آموزان عزیز آماده شده است. به علاوه 2 هدیه از طرح های جابر تقدیم می شود ... ...
√جدیدترین آپدیت آبان ۱۴۰۴√ بسم الله الرحمن الرحیم **کسب درآمد از اینترنت روزانه تا ۲/۰۰۰/۰۰۰ میلیون تومان (تضمینی و تست شده)** ☆☆آموزش صفر تا صد کسب درآمد اینترنتی بالای ۵۰/۰۰۰/۰۰۰ میلیون تومان ماهانه، پشتیبانی ۲۴ ساعته ۷ روز هفته، ۱۰۰%حلال شرعی، کاملاً واقعی و تست ... ...
آموزش نرم افزار حسابداری شالی (شرکت داده پردازی کاشان) آدرس سایت شرکت: https://kdps.ir/ مجموعه فایل PDF آموزش نرم افزار شالی شامل حساب و انبار + تمرین و حل تمرین ... ...
سئوالات عربی هفتم هشتم نهم نوبت اول دارای همه نوع سوال از جمله: مهارت های ترجمه؛ واژگان؛ مکالمه؛ درک وفهم؛ قواعد طراحی بر اساس بارم بندی جدید 15نمره کتبی و 5 نمره شفاهی مطابق با اصول و شیوه های جدید طراحی سؤال تر و تمیز شسته و رُفته اعراب گذاری شده با دانلود این ... ...
مجموعه ی حاضر فایل پاورپوینت قابل ویرایش تمامی فصل های ریاضی ششم دبستان می باشد که تمامی سوالات همراه با جواب کامل بوده و توضیحات کامل هستند این فایل ها مناسب برای آموزگاران عزیز و دانش آموزان و اولیا می باشد با استفاده از این فایل ها ها به جواب سوالات فصل ها خواهید رسید هم به ...
پکیج فوقالعاده آموزش کسب درآمد با هوش مصنوعی بدون نیاز به تخصص | بدون سرمایه اولیه | درآمد واقعی ✅ چرا باید این پکیج رو تهیه کنید؟ ✨ کاملاً عملی و کاربردی – فقط تئوری نیست، دقیقاً قدمبهقدم نشونت میدیم چه کاری انجام بدی. ✨بدون نیاز به تجربه یا تخصص قبلی – حتی اگه ... ...
دانلود کتاب معلم نوو پریسما آ2 فایل به صورت pdf با کیفیت خوب و برای راحتی در تدریس یا آموزش کتاب نوو پریسما A2 می باشد. کتاب Nuevo Prisma A2 با ساختار جدید بر اساس متد قبلی این مجموعه جهت فراگیری زبان اسپانیایی ویژه بزرگسالان توسط انتشارات Editorial Edinumen به چاپ ... ...
دانلود حسابداری مالی دکتر یدالله تاری وردی و کلاس کنکور کارشناسی ارشد حسابداری مالی ...
فارسی ساز Crysis 3 Remastered ... ...
با نصب این فارسی ساز میتوانید بازی Hell is us رو به صورت کامل فارسی بازی کنید. ... ...
کتاب صوتی پاک زیستن انجمن معتادان گمنام NA درباره کتاب: هر روزی که ما پاک زیسته و اصول روحانی بهبودی را تمرین می کنیم, حقایق بیشتری آشکار می گردند. اولین نسخۀ کتاب پاک زیستن در سال 1983 نوشته شد اما آغاز این پروژه حتی به پیش از این تاریخ نیز مربوط می گردد. این ... ...
فایل ورد سوال قرآن هفتم هشتم نهم نوبت اول دی 1404 دارای راهنمای تصحیح/ قابل تغییر و ویرایش مجدد تر و تمیز شسته و رُفتهاعراب(حرکت) گذاری شده و دارای انواع سوالات از جمله: (سؤالات ترجمه کلمات، ترکیبات، ترجمه آیات و عبارات و مفاهیم قرآنی) چنانچه هر سه ... ...
در اینجا جزئیات اجرایی کمیاب از نحوه اجرا و نقشه های مقاوم سازی ستون بتنی با ژاکت فولادی را می توانید دانلود کنید... نقشه های دانلودی در فرمت فایل اتوکد dwg و قابل ویرایش هستند... شامل : دانلود دتایل اجرایی مقاوم سازی ستون بتنی با ژاکت فلزی نحوه اتصال بولت ها به ستون ... ...
دانلود کتاب"صدای خود را آزاد کنید" نوشته : راجر لاو pdf+فایلهای صوتی تمرینی همراه کتاب با یادگیری تکنیکهای ساده راجر لاو هر کسی می تواند صاحب صدایی قوی برای صحبت کردن و صوتی زیبا برای خواندن شود. او با نظریه انقلابی و ارائه مفهوم صدای میانی،شما را به دنیای جدیدی از ... ...
نقشه سیم کشی قسمتهای مختلف موتورسیکلتهای پالس Pulse به صورت کاملا رنگی و بسیار با کیفیت فرمت فایل : pdf (پی دی اف) شامل 8 نقشه سیم کشی 220 و 200 سی سی 01. نقشه مدار سیم کشی نشانگر آمپر سوخت02. نقشه مدار سیم کشی چراغ ها03. نقشه مدار سیم کشی استارت04. نقشه مدار سیم کشی ... ...
دانلود جزوه روسازی راه دکتر طباطبایی شامل هر دو نسخه پی دی اف و پاورپوینتزبان:فارسیفرمت:PDF و پاورپوینت ...
جزوه کامل اصول حسابداری 1 + راهنما و حل المسائل اصول حسابداری ۱ بر اساس کتاب عبدالکریم مقدم و علی شفیع زاده منبع رشته حسابداری پیام نور در 250 صفحه به صورت فایل PDF این راهنما شامل موارد زیر است: نمونه سوالات آزمون تستی و تشریحی با جواب نکات مهم و چکیده هر ... ...
مان «کلیدر» نوشتهی «محمود دولتآبادی»، نویسندهی نامآشنای معاصر است. این رمان که به صورت دورهی دهجلدی تدوین شده، جایگاه ویژهای در ادبیات معاصر ایران دارد. بسیاری از منتقدان و صاحبنظران حوزهی ادبیات، این اثر را بزرگترین و ماندنیترین رمان در ادبیات فارسی میدانند. ... ...
اگر به یک وب سایت یا فروشگاه رایگان با فضای نامحدود و امکانات فراوان نیاز دارید بی درنگ دکمه زیر را کلیک نمایید.
ایجاد وب سایت یا